이번 글에는 그래프를 표현하는 방법에 대해 알아보도록 하겠다.

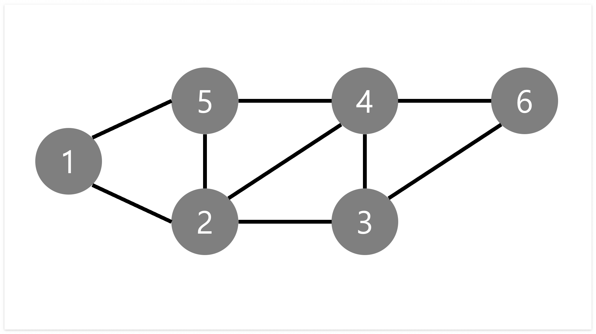
정점 : {1, 2, 3, 4, 5, 6}
간선 : {(1, 2), (1, 5), (2, 3), (2, 4), (2, 5), (3, 4), (3, 6), (3, 6), (4, 6)}
1. 인접 행렬
V개의 정점이 있을 때 V ☓ V 사이즈의 이차원 배열을 통해 나타낸다.
정점 i와 정점 j가 연결되어있을 때
- A[i][j] = 1
정점 i와 정점 j가 연결되어있지 않을 때
- A[i][j] = 0
예시
| 1 | 2 | 3 | 4 | 5 | 6 | |
| 1 | 1 | 0 | 0 | 1 | 0 | |
| 2 | 1 | 1 | 0 | 1 | 0 | |
| 3 | 0 | 1 | 1 | 0 | 1 | |
| 4 | 0 | 0 | 1 | 1 | 1 | |
| 5 | 1 | 1 | 0 | 1 | 0 | |
| 6 | 0 | 0 | 1 | 1 | 0 |
2. 인접 리스트
리스트(배열)를 이용해서 구현한다. 리스트는 크기를 동적으로 변경할 수 있어야 한다. 때문에 연결 리스트나 길이를 동적으로 변경할 수 있는 배열을 사용한다.
A[i] = i와 연결된 모든 정점을 저장함.
| 정점 | 인접한 정점 |
| A[1] | 2, 5 |
| A[2] | 1, 3, 4, 5 |
| A[3] | 2, 4 |
| A[4] | 3, 5, 2, 6 |
| A[5] | 1, 2, 4 |
| A[6] | 4 |
3. 간선 리스트
배열을 이용해서 구현한다. 그래프에 존재하는 간선을 모두 저장하고 있다.
E[1] = 1 2
E[2] = 1 5
E[3] = 2 3
E[4] = 2 4
E[5] = 2 5
E[6] = 5 4
E[7] = 4 3
E[8] = 2 1
E[9] = 5 1
E[10] = 3 2
E[11] = 4 2
E[12] = 5 2
E[13] =4 5
E[14] = 3 4
E[15] = 6 4
총평
하려던 일 계속 미루다가 겨우 끝낸 느낌이다.
'🧑💻코딩 테스트 > 알고리즘' 카테고리의 다른 글
| [코딩테스트/알고리즘] 그래프(Graph) - 그래프 종류, 그래프 용어 (0) | 2022.10.27 |
|---|---|
| [코딩테스트/알고리즘] 브루트 포스(Brute Force) (0) | 2022.09.02 |
| [코딩테스트/알고리즘] 다이나믹 프로그래밍(Dynamic Programming) (0) | 2022.08.29 |
| [코딩 테스트/알고리즘] 알고리즘 공부 시작 (0) | 2022.06.29 |
댓글