1. 그래프란
그래프는 자료구조의 일종으로 정점과 간선으로 나타낸다.
- 정점(Vertex) : 노드(Node)라고도 불리며 데이터가 저장된다.
- 간선(Edge) : 정점 간의 관계를 나타낸다.
V개의 정점과 E개의 간선을 가진 그래프 G는
- G = (V, E)로 나타낸다.
2. 그래프의 종류
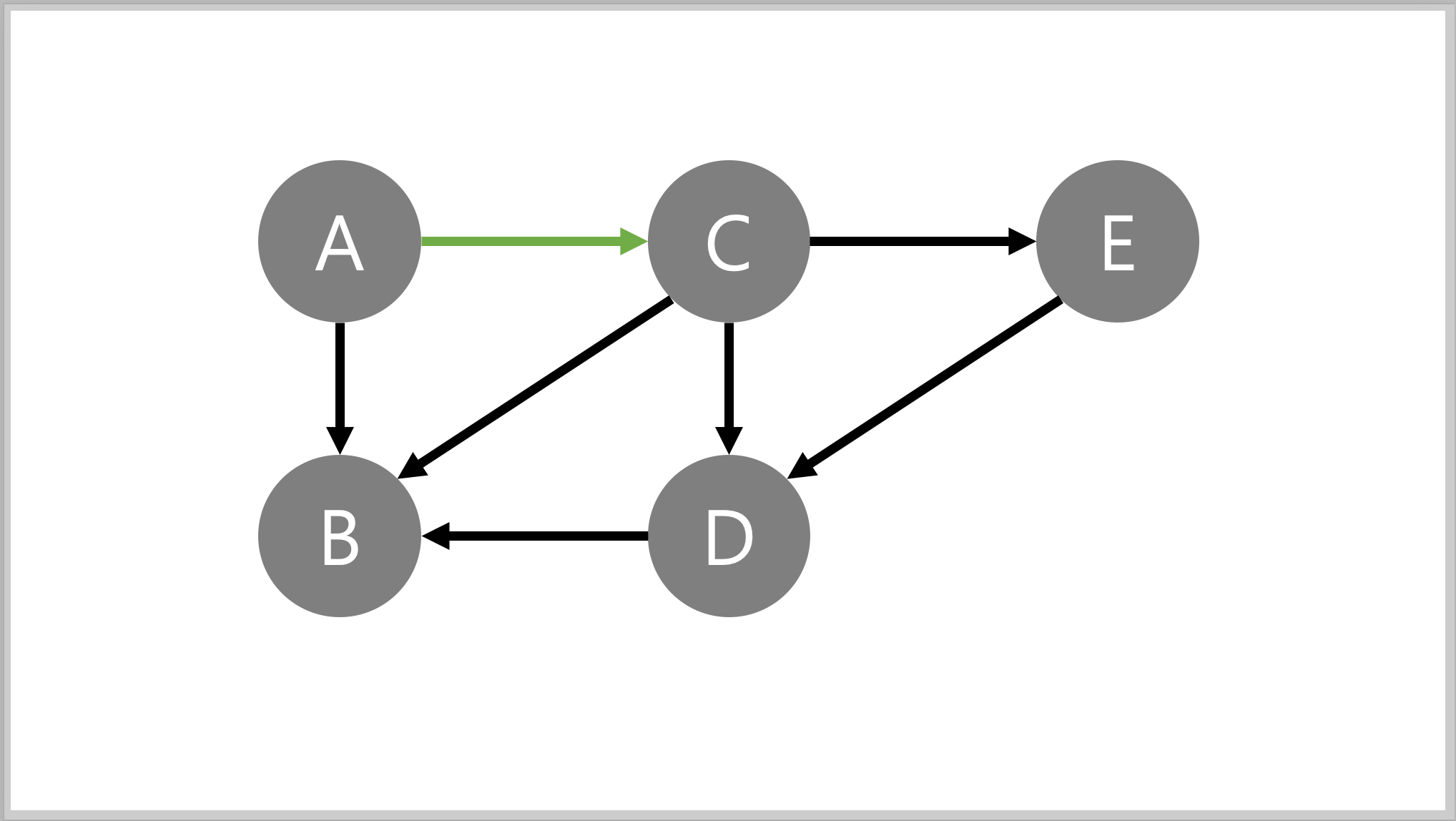
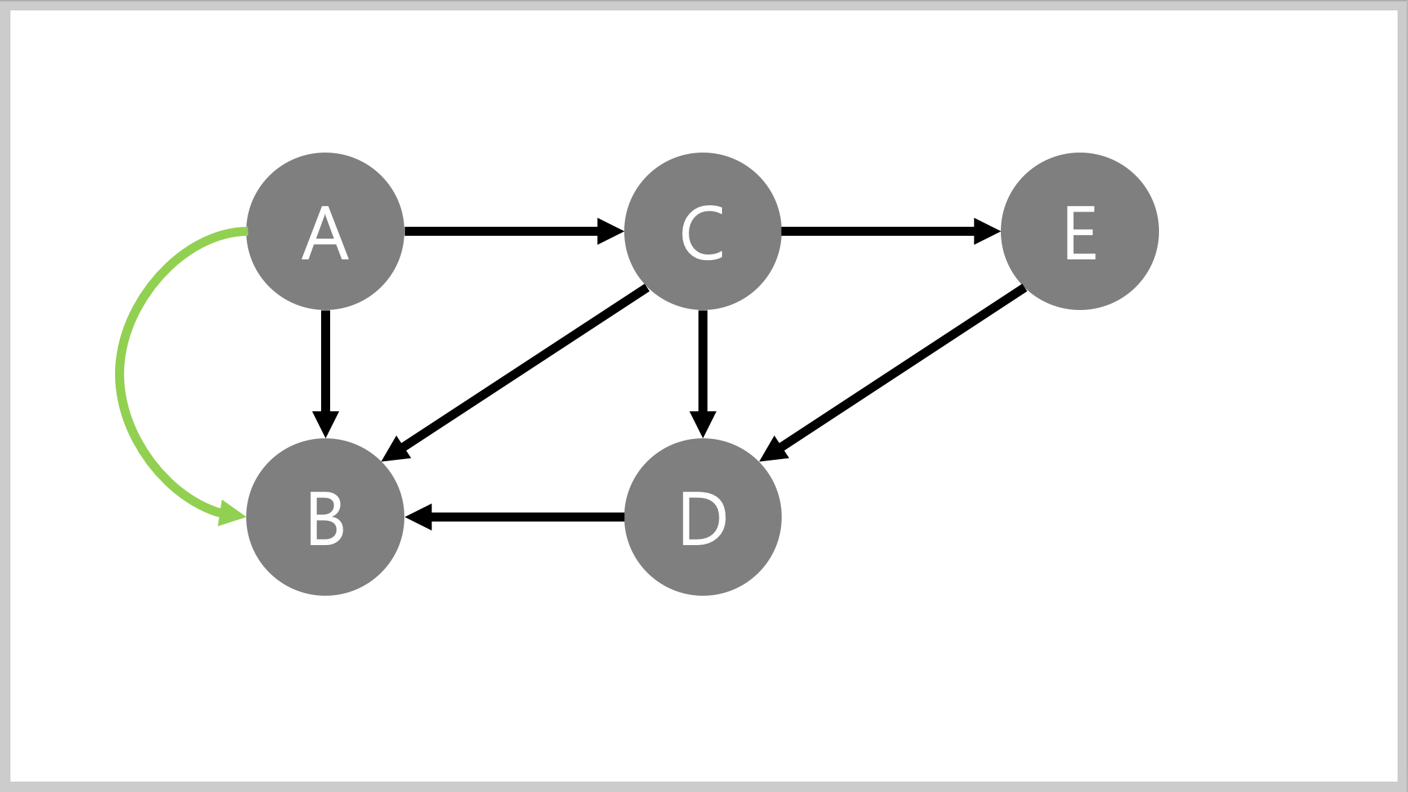
1) 방향이 있는 그래프
그래프의 간선 간에 방향이 있는 그래프
- A → C로 가는 간선은 있다.
- C → A로 가는 간선은 없다.

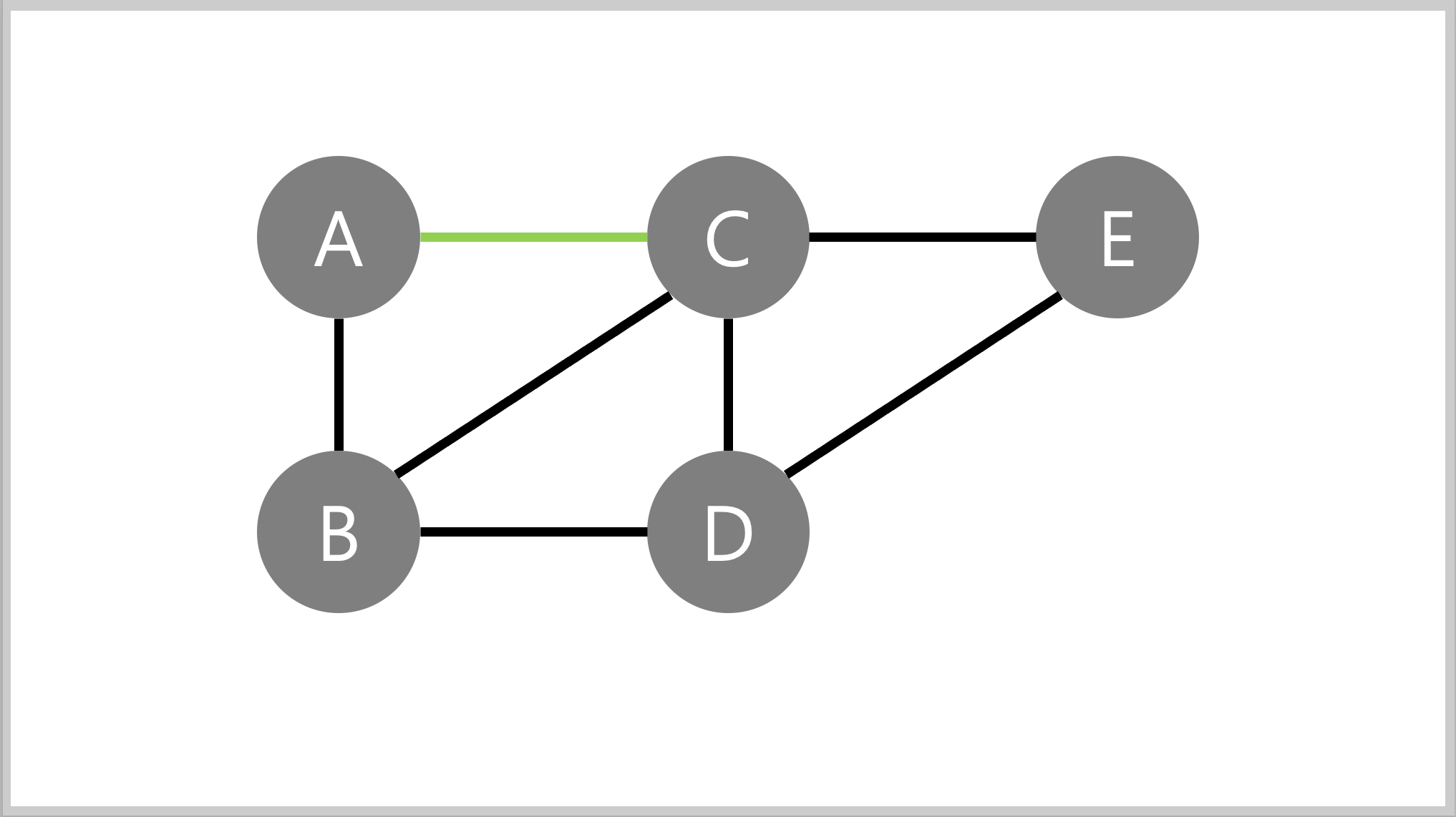
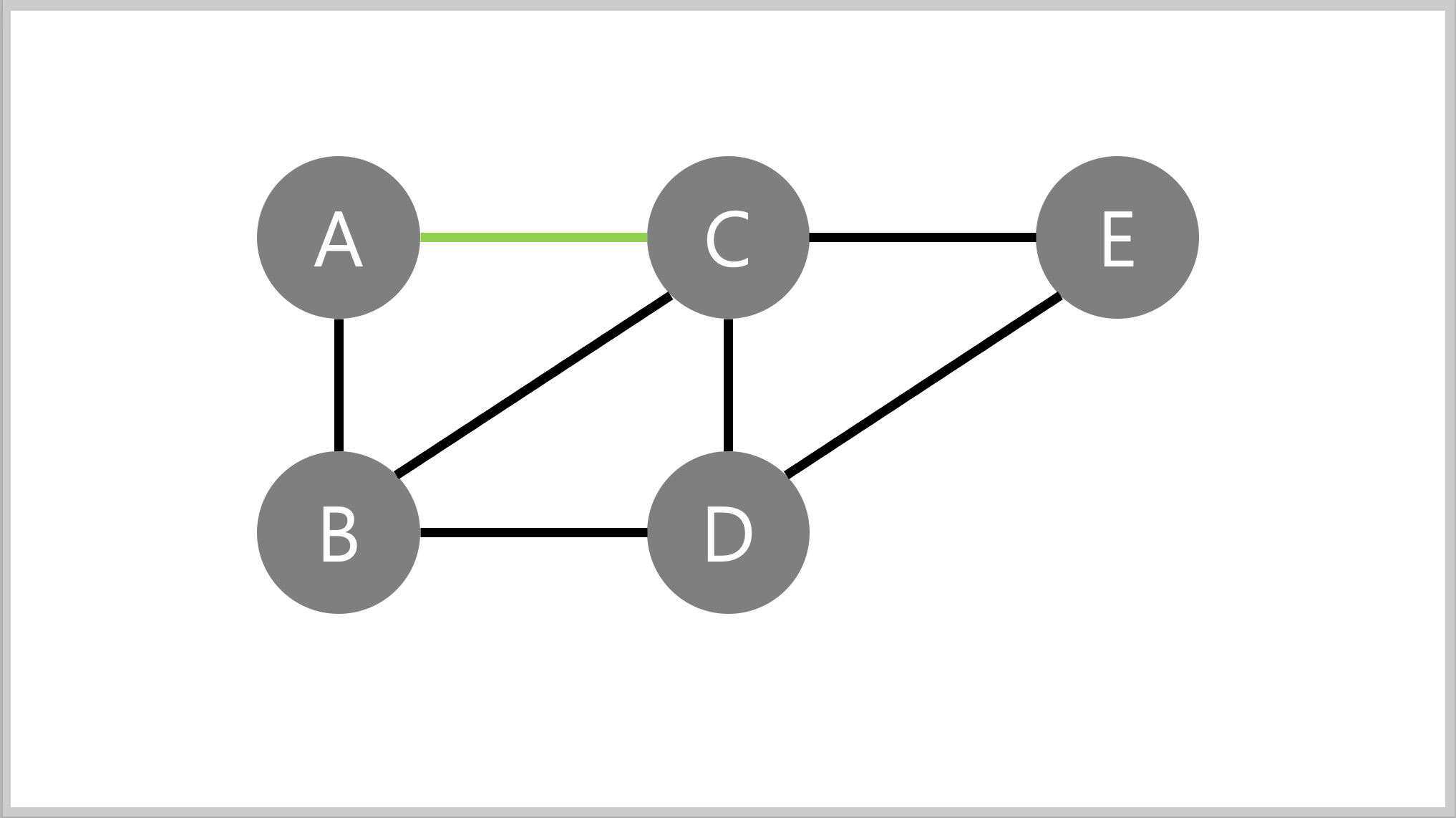
2) 방향이 없는 그래프 (양방향 그래프)
그래프의 간선 간에 방향이 없는 그래프
- A - C 간에 간선의 방향이 없다.
- A - C는 A → C 와 C → A를 나타낸다.

3) 간선이 여러개인 그래프(Mumtiple Edge)
두 정점 사이에 간선이 여러 개인 그래프
- 아래 그래프는 A - B를 연결하는 간선이 2개이다.
- 두 간선은 서로 다른 간선으로 취급한다.

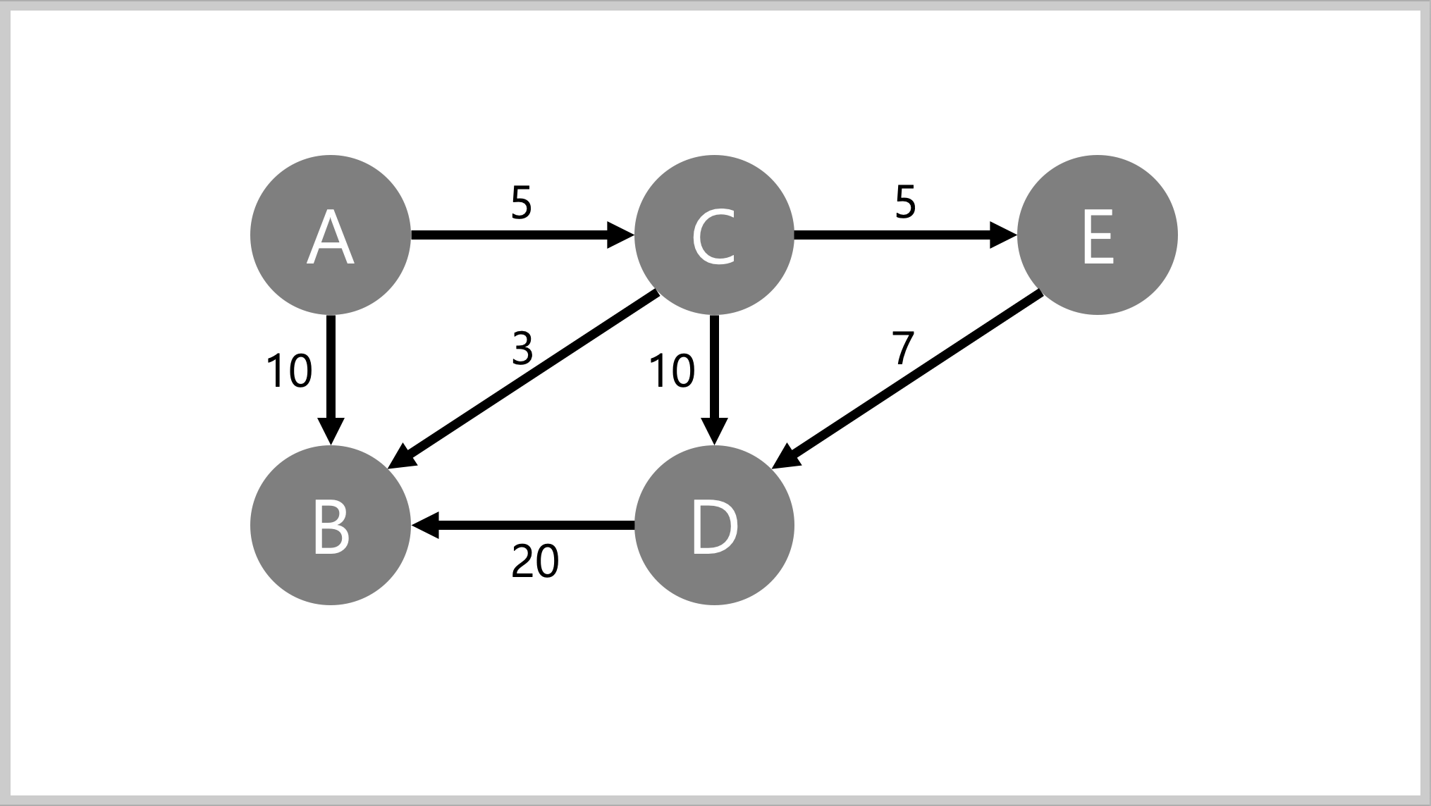
4) 가중치(Weight)가 있는 그래프
간선 사이에 가중치가 있는 그래프
- A에서 B로 이동하는 거리
- A에서 B로 이동하는데 필요한 시간
- A에서 B로 이동하는데 필요한 비용
- 기타 등등

3. 그래프 용어
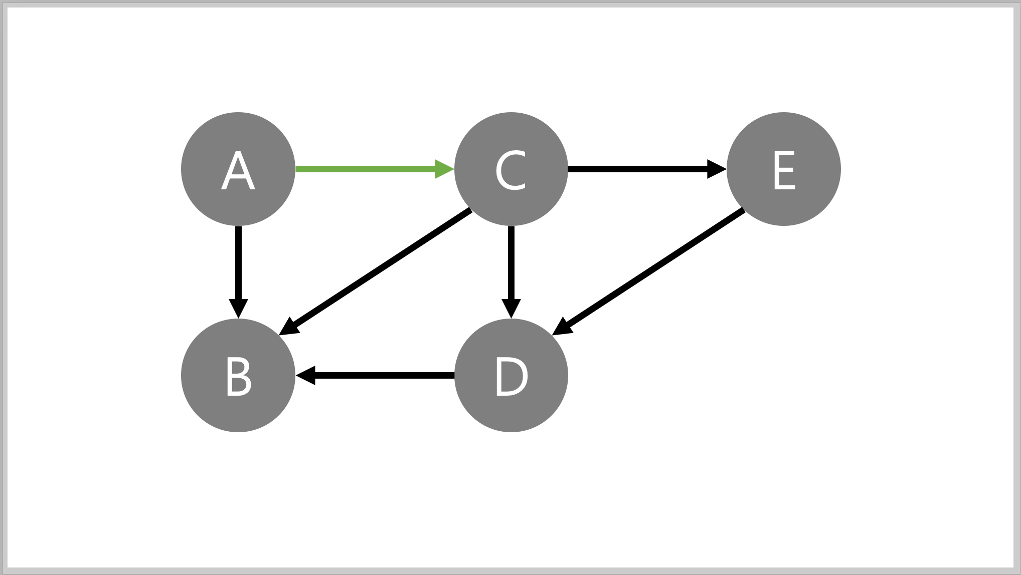
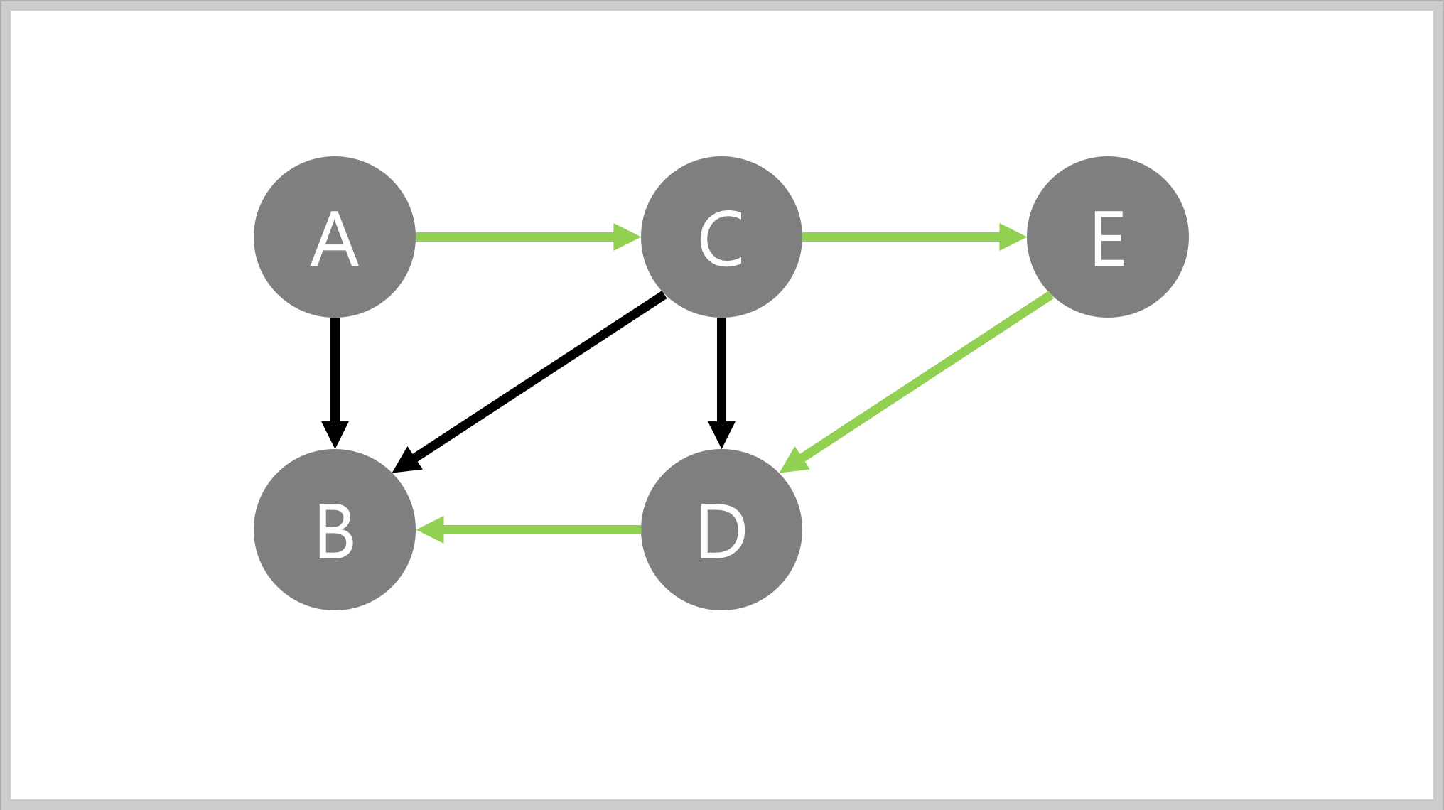
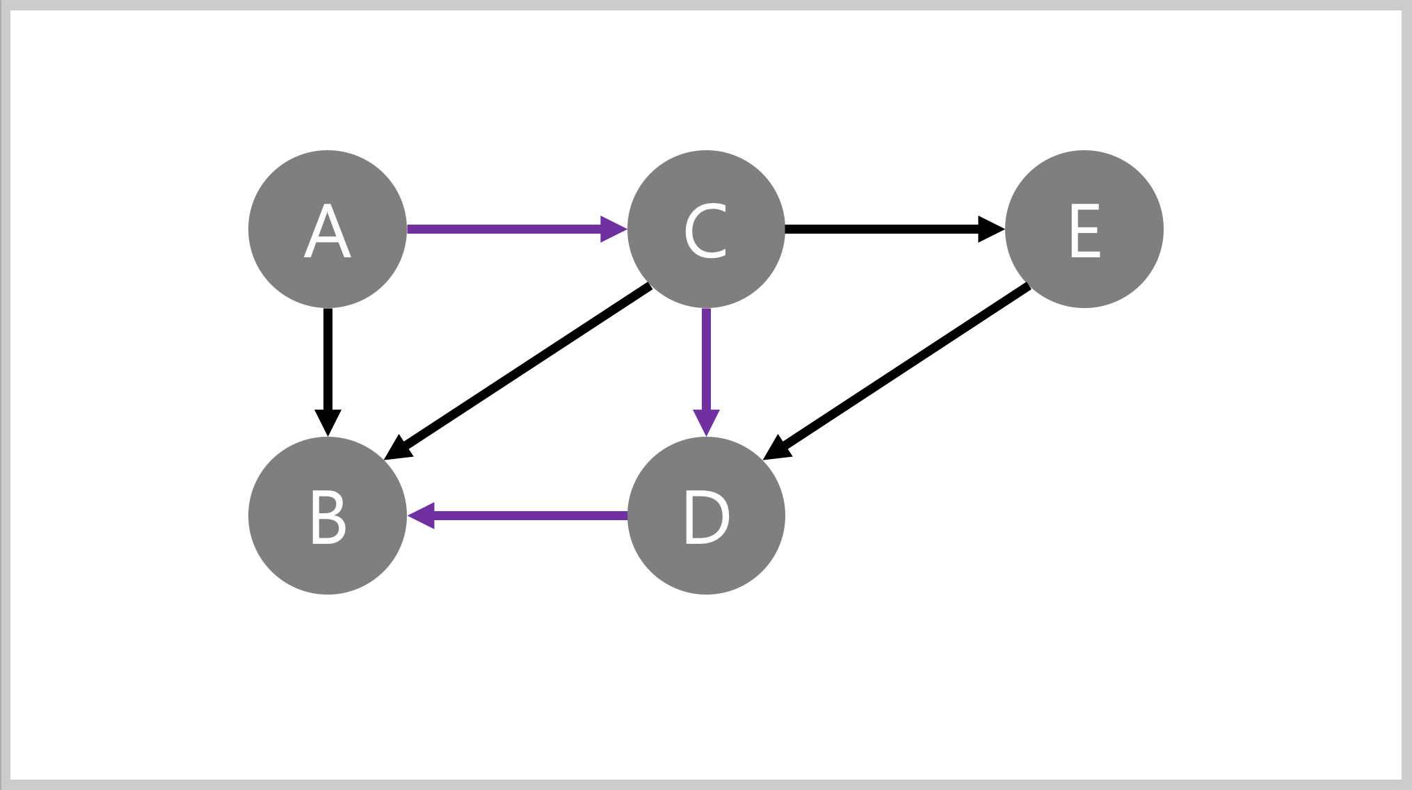
1) 경로(Path)
한 정점에서 다른 정점까지 가는 간선의 조합




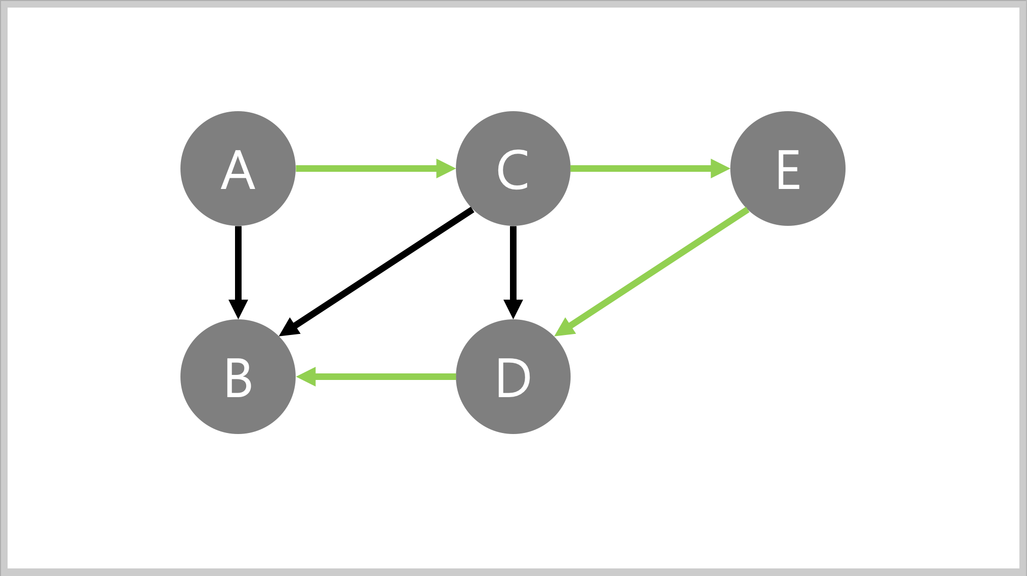
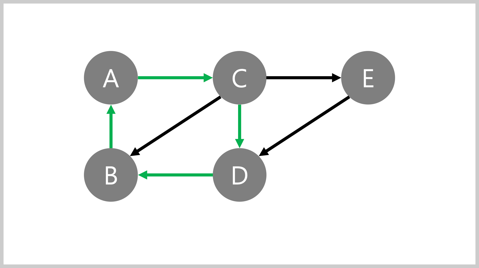
정점 A에서 B로 가는 경로
- A → C → D → E → B
- A → B
- A → C → B
- A → C → D → B
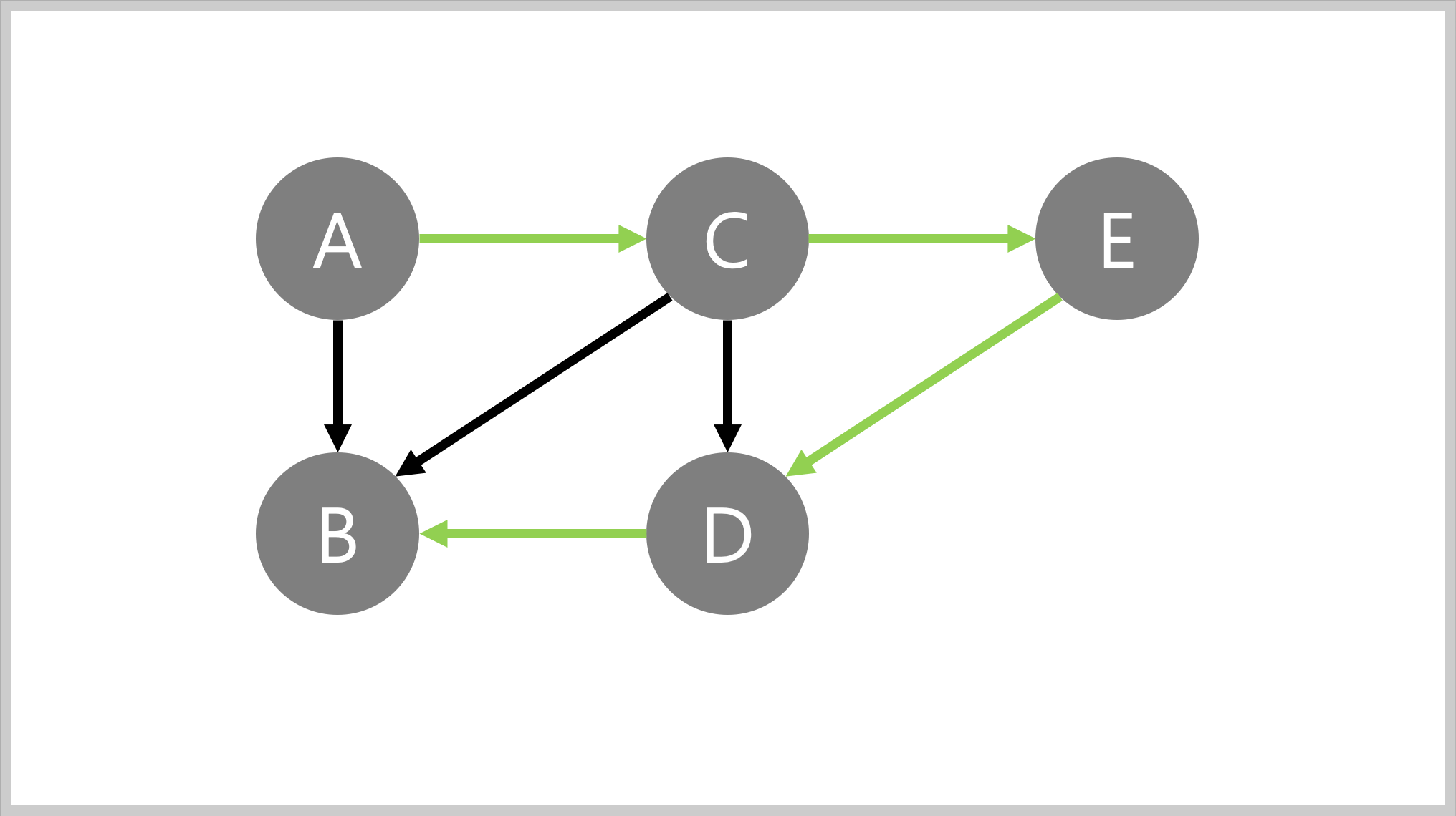
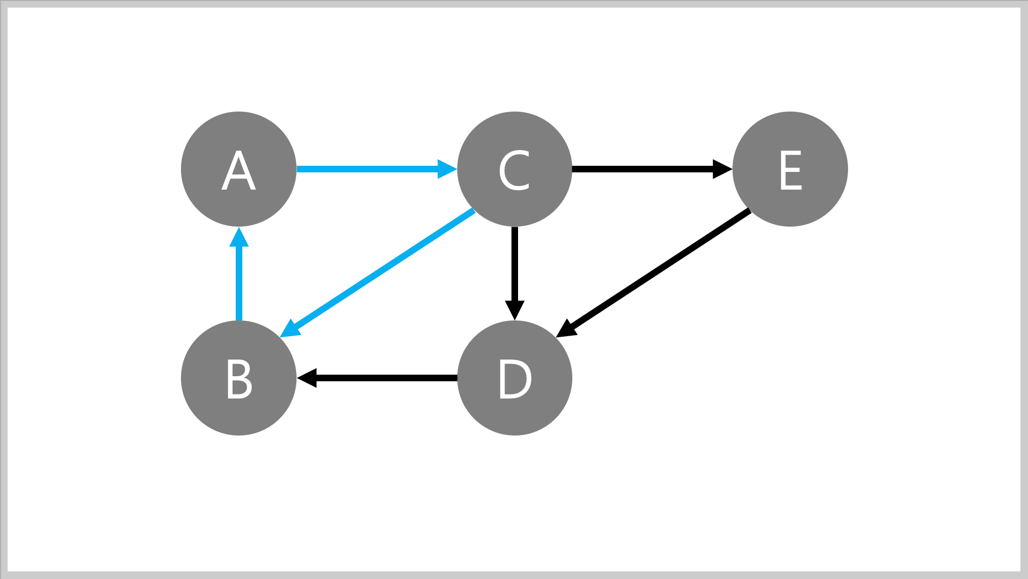
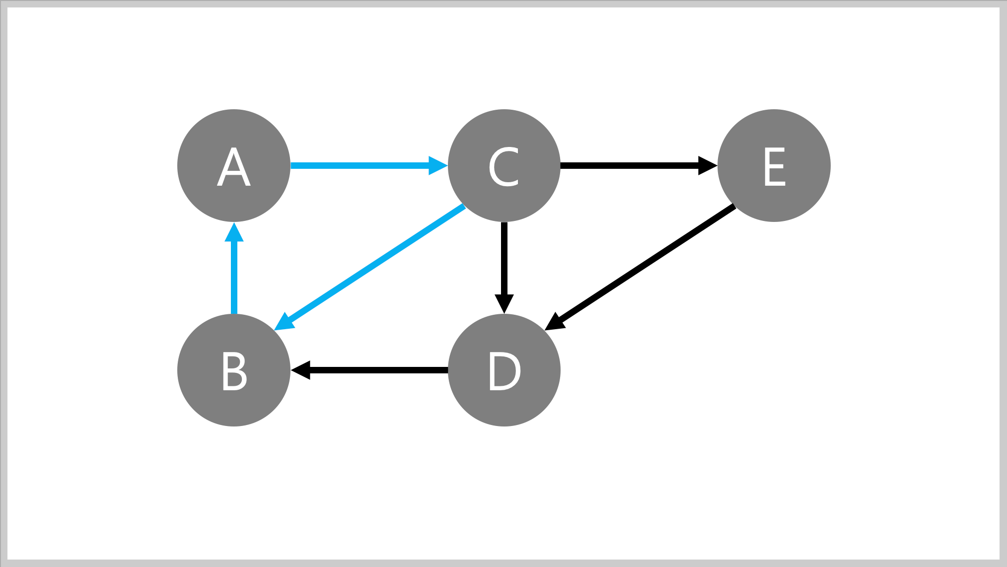
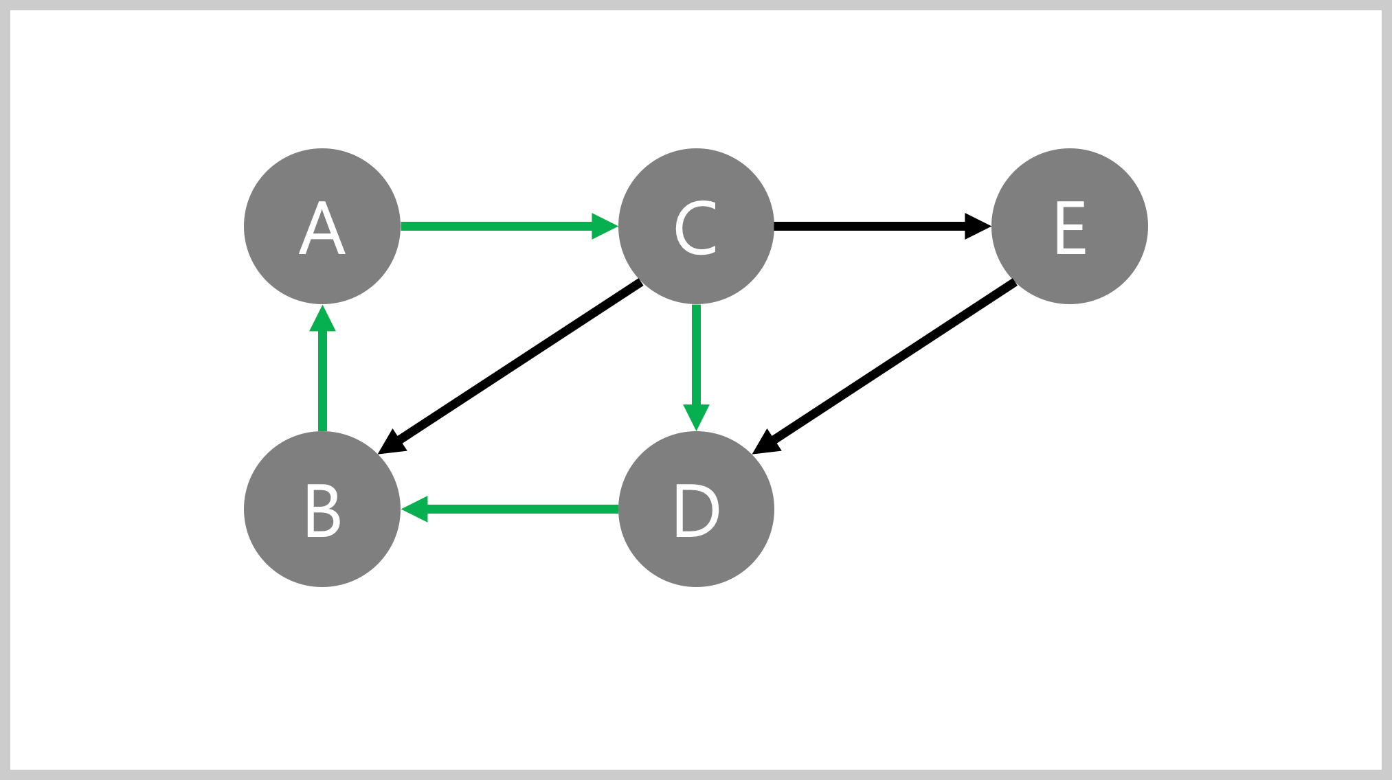
2) 사이클(Cycle)
한 정점에서 다시 그 정점으로 돌아오는 경로



정점 A에서 B로 가는 경로
- A → C → B → A
- A → C → E → D → B → A
- A → C → D → B → A
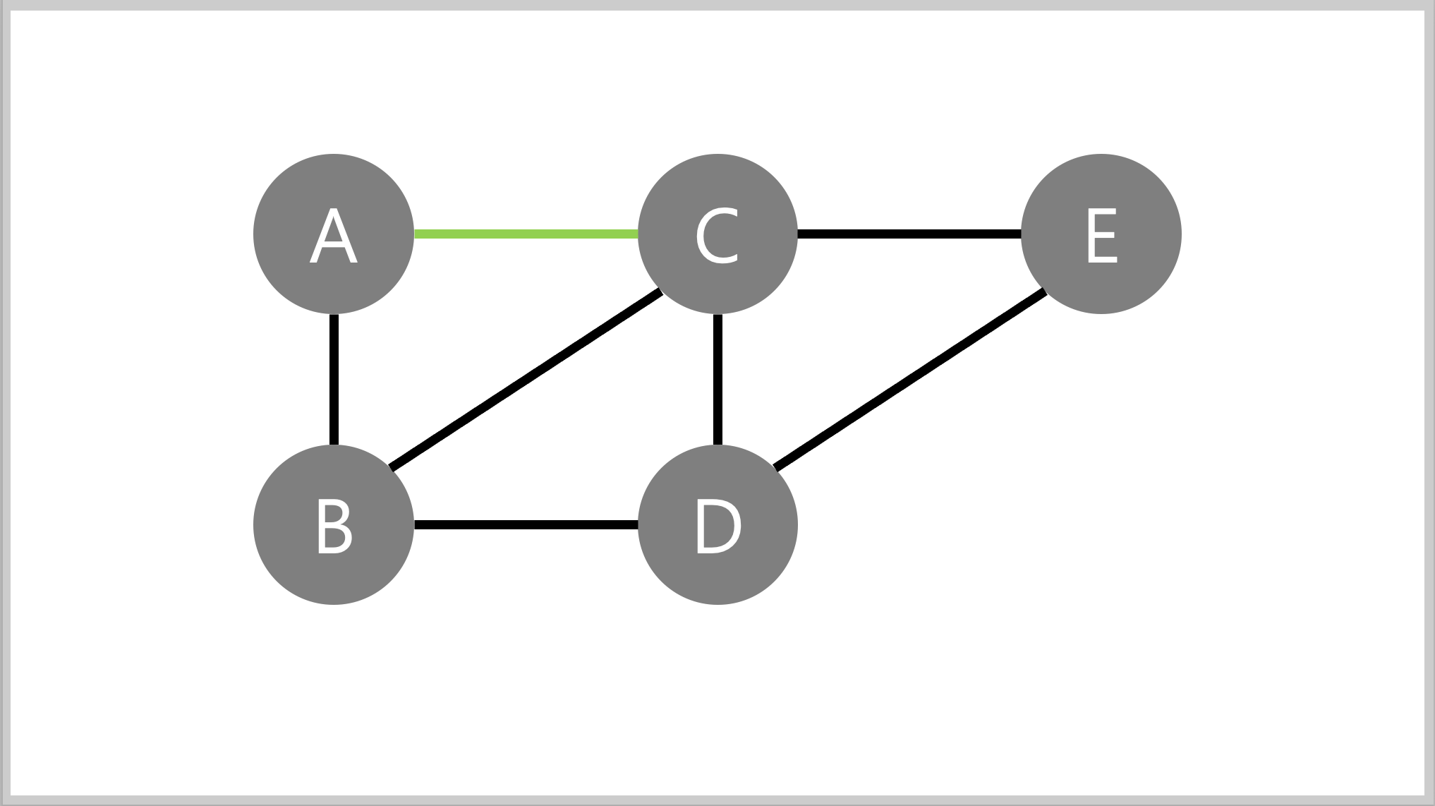
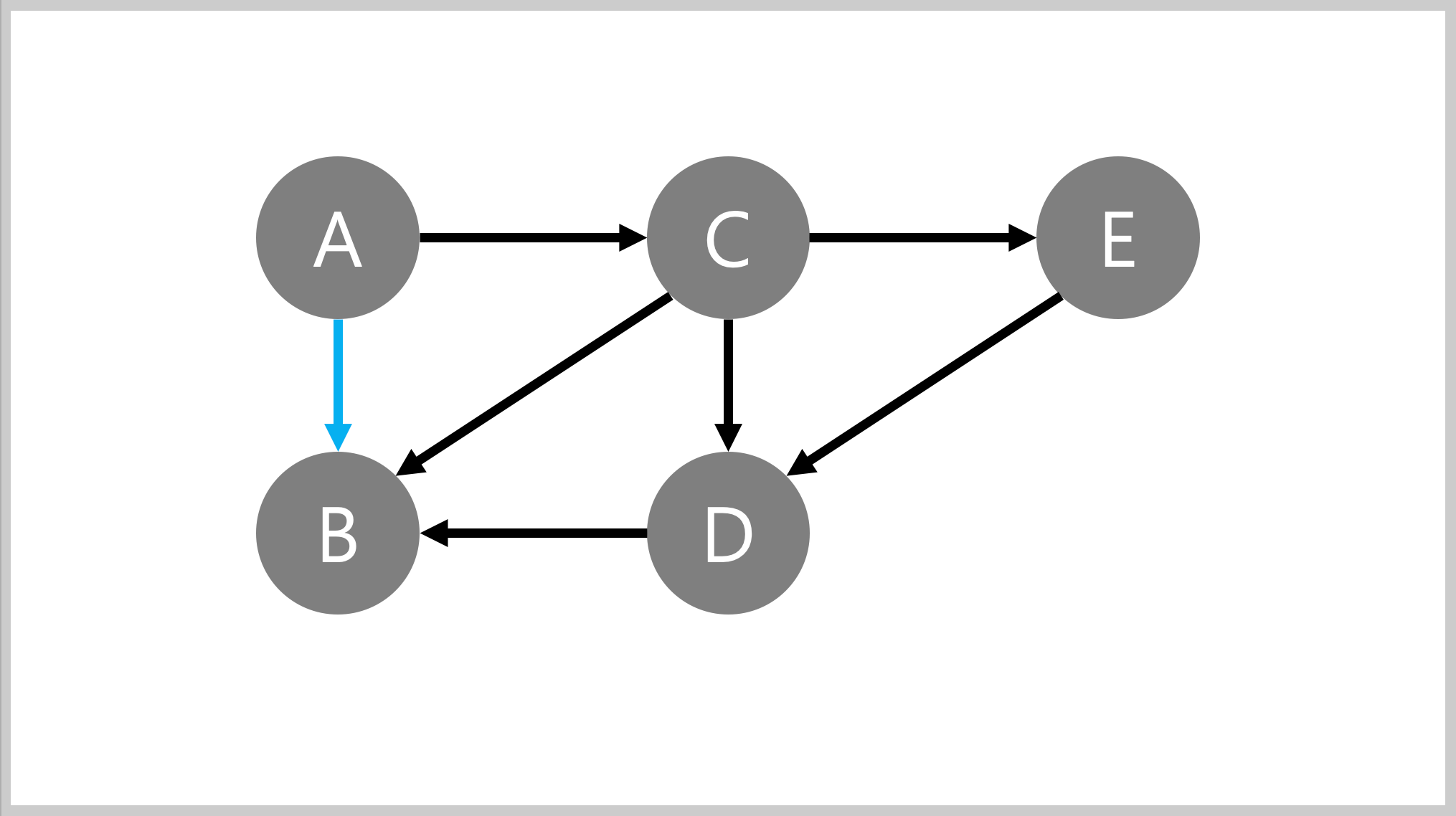
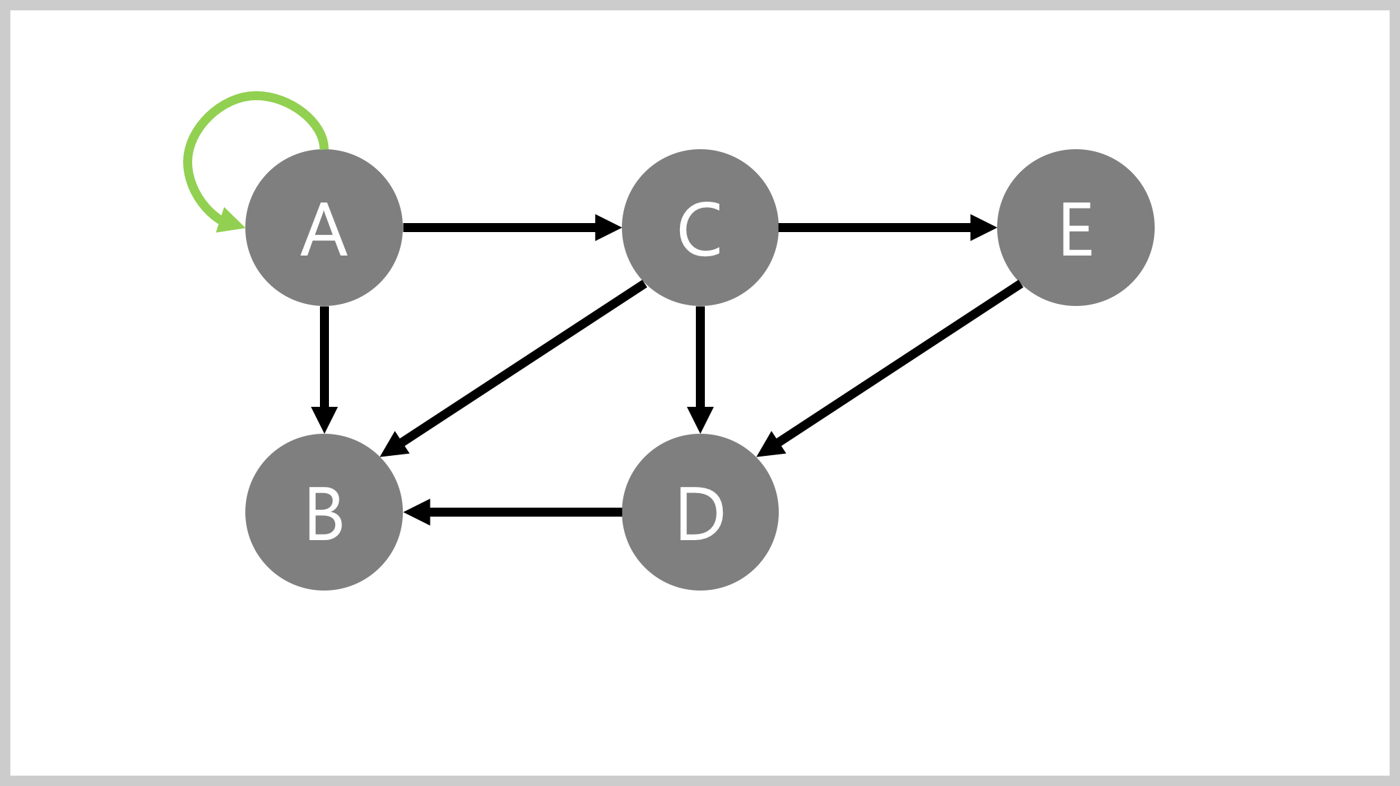
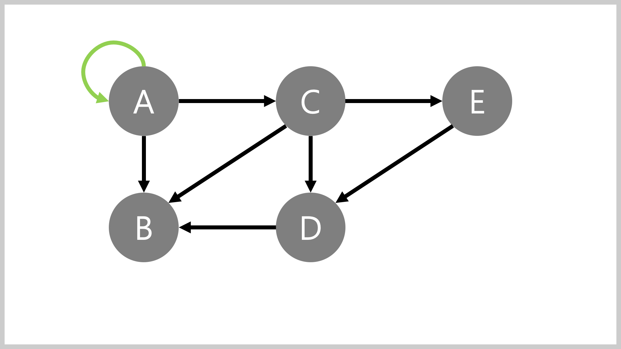
3) 루프(Loop)
간선의 양 끝 점이 같은 경우

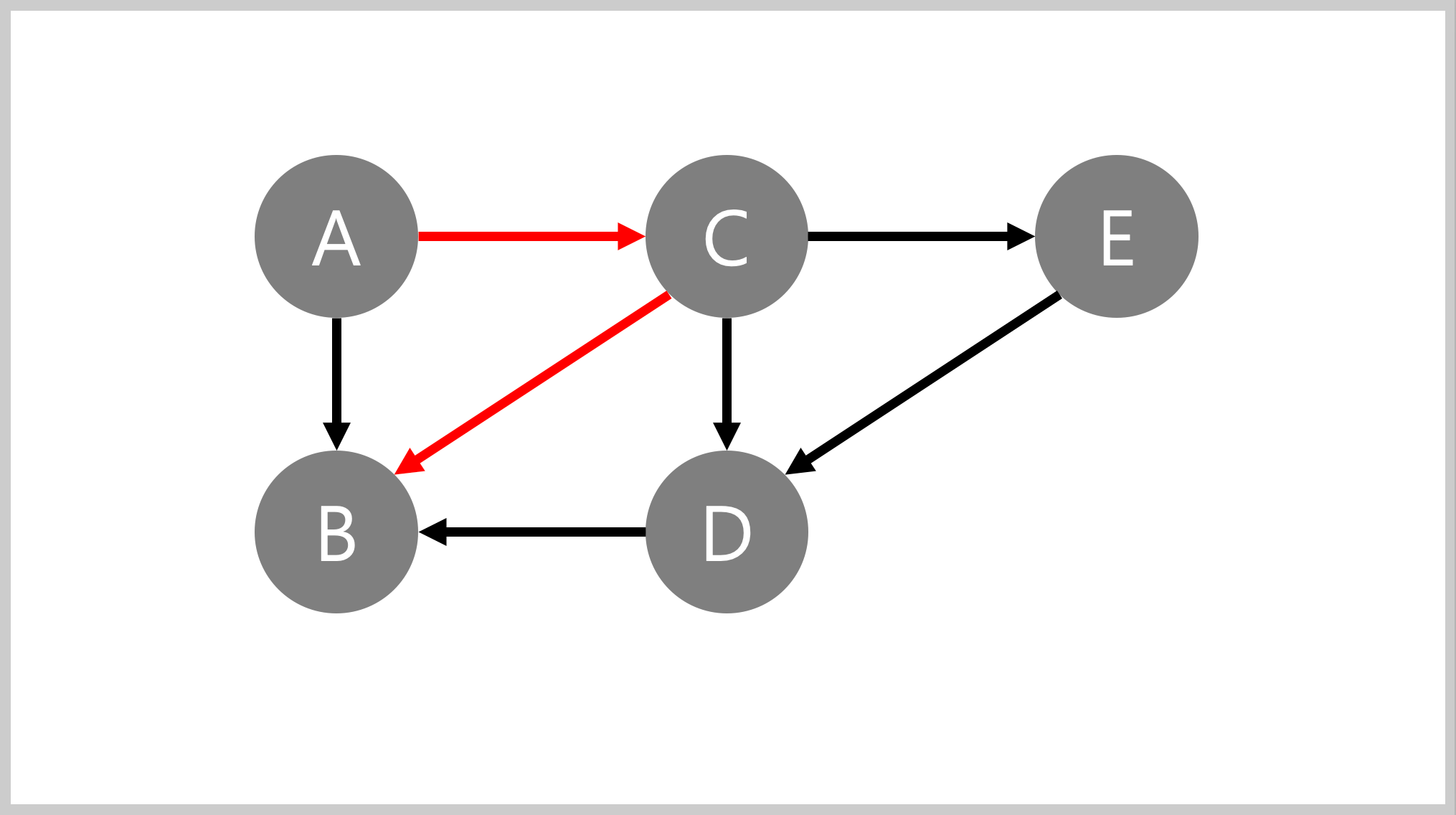
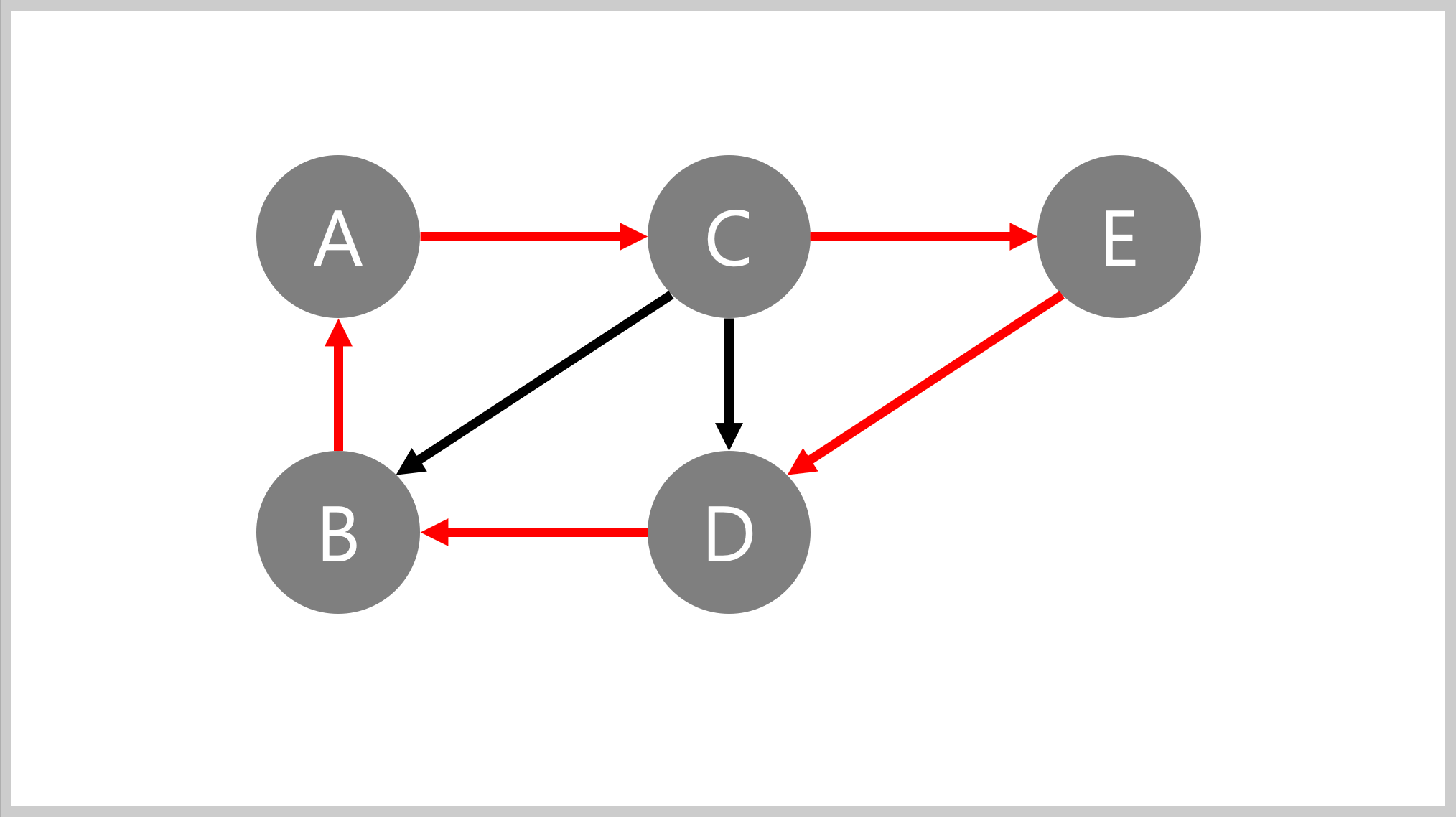
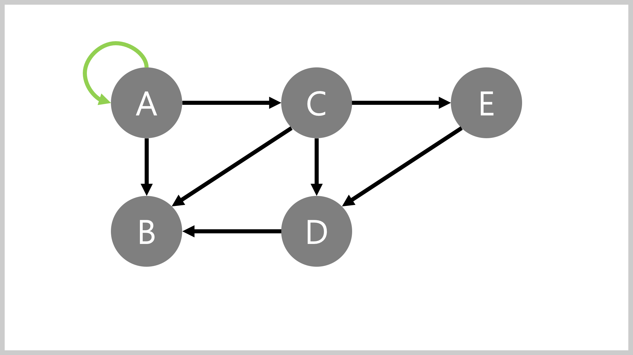
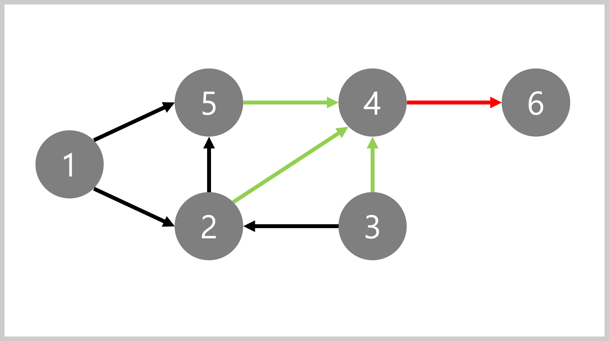
4) 차수(degree)
정점과 연결되어 있는 간선의 수


- 5의 차수 : 3
- 4의 차수 : 4
방향 그래프의 경우 In-deree, Out-degree로 나누어서 차수를 계산한다.
- In-degree : 들어오는 간선의 수
- Out-degree : 나가는 간선의 수

- 4의 In-degree : 3
- 4의 Out-degree : 1
총평
그냥 힘들다.
'🧑💻코딩 테스트 > 알고리즘' 카테고리의 다른 글
| [코딩테스트/알고리즘] 그래프(Graph) - 그래프의 표현 (0) | 2022.12.09 |
|---|---|
| [코딩테스트/알고리즘] 브루트 포스(Brute Force) (0) | 2022.09.02 |
| [코딩테스트/알고리즘] 다이나믹 프로그래밍(Dynamic Programming) (0) | 2022.08.29 |
| [코딩 테스트/알고리즘] 알고리즘 공부 시작 (0) | 2022.06.29 |
댓글