다이나믹 프로그래밍
큰 문제를 작은 문제로 나눠서 푸는 알고리즘을 말한다. 1940년 Richard Bellman이 처음으로 Dynamic Programming이란 단어를 사용했는데 멋있어 보여서 이름 붙였다고 한다. (궁금해서 찾아보니까 벨만-포드 알고리즘의 그 벨만이 맞았다.)
다이나믹 프로그래밍으로 문제를 풀기 위한 조건
1. Overlapping Subproblem
- 문제를 작은 문제로 쪼갤 수 있다.
- 큰 문제와 작은 문제를 같은 방법으로 풀 수 있다.
2. Optimal Substructure
- 문제의 정답을 작은 문제의 정답에서 구할 수 있다.
다이나믹 프로그래밍에서 각 문제는 한 번만 풀어야 한다. 각 문제들은 Optimal Substructure를 만족하기 때문에, 같은 문제는 구할 때마다 정답이 같다. 따라서, 정답을 한 번 구했으면 어딘가에 메모해 두어야 한다. 이렇게 메모하는 것을 코드에서는 배열에 저장하는 것으로 구현한다.
예제) 피보나치 수 구하기
N번째 피보나치 수를 구하는 문제는 N-1번째 피보나치 수를 구하는 문제와 N-2번쨰 피보나치수를 구하는 문제의 합으로 해결할 수 있다.
public static int fibonacci(int n) {
if( n <= 1) {
return n;
}
else {
return fibonacci(n - 1) + fibonacci(n - 2);
}
}
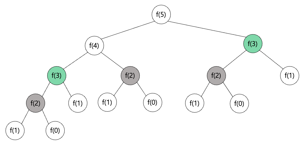
위 코드는 피보나치 수를 구하는 함수를 재귀적으로 구현한 것이다. 답을 구한 수를 메모하지 않았을 때, 아래 그림과 같이 동일한 함수가 중복 호출되어 비효율적인 것을 볼 수 있다. 한 문제를 풀 때마다 두개의 작은 문제가 생성되기 때문에 O(2ⁿ)의 시간 복잡도를 가지며, n에 큰 수가 들어가면 메모리 초과가 나타나게 된다.

개선된 피보나치 함수(DP)
public static int fibonacci(int n) {
int[] memo = new int[100]; //memo[n]의 값은 fibonacci(n)의 값
if( n <= 1) {
return n;
}
else {
if(memo[n] > 0) {
return memo[n];
}
else {
memo[n] = fibonacci(n - 1) + fibonacci(n - 2);
return memo[n];
}
}
}
위 코드는 답이 구해진 피보나치 수를 메모해 두고, 중복 호출 대신 메모해놓은 값을 반환하도록 하였다. 모든 문제를 한번씩만 풀기 때문에 O(N)의 시간복잡도를 가진다.

다이나믹 프로그래밍의 구현 방식
1. Top-down 방식
재귀 호출을 이용해서 문제를 해결한다.
1.큰 문제를 작은 문제로 나눈다.
- fibonacci(n)을 fibonacci(n-1)과 fibonacci(n-2)로 나눈다.
2. 작은 문제를 푼다.
- fibonacci(n-1)과 fibonacci(n-2)을 푼다.
3. 작은 문제를 풀었으면 큰 문제를 푼다.
- fibonacci(n-1)의 값과 fibonacci(n-2)의 값의 합으로 fibonacci(n)을 구한다.
2. Bottom-up 방식
1. 문제를 크기가 작은 문제부터 차례대로 푼다.
2. 문제의 크기를 조금씩 크게 만들면서 문제를 풀어나간다.
- i를 증가시킨다.
3. 작은 문제를 풀었던 것으로 큰 문제를 해결한다.
- memo[i] = memo[i-1] + memo[i-2]
Bottom-up 방식 코드
int[] memo = new int[100];
public int fibonacci(int n) {
memo[0] = 0;
memo[1] = 1;
for(int i = 2; i <= n; i++) {
memo[i] = memo[i-1] + memo[1-2];
}
return memo[n];
}
다이나믹 프로그래밍 문제
https://www.acmicpc.net/problem/1003
1003번: 피보나치 함수
각 테스트 케이스마다 0이 출력되는 횟수와 1이 출력되는 횟수를 공백으로 구분해서 출력한다.
www.acmicpc.net
https://www.acmicpc.net/problem/1463
1463번: 1로 만들기
첫째 줄에 1보다 크거나 같고, 106보다 작거나 같은 정수 N이 주어진다.
www.acmicpc.net
https://www.acmicpc.net/problem/11726
11726번: 2×n 타일링
2×n 크기의 직사각형을 1×2, 2×1 타일로 채우는 방법의 수를 구하는 프로그램을 작성하시오. 아래 그림은 2×5 크기의 직사각형을 채운 한 가지 방법의 예이다.
www.acmicpc.net
https://www.acmicpc.net/problem/9095
9095번: 1, 2, 3 더하기
각 테스트 케이스마다, n을 1, 2, 3의 합으로 나타내는 방법의 수를 출력한다.
www.acmicpc.net
https://www.acmicpc.net/problem/11052
11052번: 카드 구매하기
첫째 줄에 민규가 구매하려고 하는 카드의 개수 N이 주어진다. (1 ≤ N ≤ 1,000) 둘째 줄에는 Pi가 P1부터 PN까지 순서대로 주어진다. (1 ≤ Pi ≤ 10,000)
www.acmicpc.net
'🧑💻코딩 테스트 > 알고리즘' 카테고리의 다른 글
| [코딩테스트/알고리즘] 그래프(Graph) - 그래프의 표현 (0) | 2022.12.09 |
|---|---|
| [코딩테스트/알고리즘] 그래프(Graph) - 그래프 종류, 그래프 용어 (0) | 2022.10.27 |
| [코딩테스트/알고리즘] 브루트 포스(Brute Force) (0) | 2022.09.02 |
| [코딩 테스트/알고리즘] 알고리즘 공부 시작 (0) | 2022.06.29 |
댓글